污水污泥不仅产量大,而且可能对环境造成多种危害。政府和社会越来越关注与污水污泥处理和处置相关的环境问题,旨在实现绿色和可持续发展,同时避免二次污染。因此,制定生态上可持续、经济上可行的污水污泥处理和管理策略势在必行。与填埋、堆肥、焚烧等会造成生态污染的传统污水污泥处置方式相比,厌氧消化技术越来越受到人们的关注。厌氧消化不仅可以处置大量剩余污泥,实现污泥的减量化,还能产生高价值的沼气,实现污泥的资源化利用。然而,在厌氧消化过程中会产生大量沼渣。对这些沼渣的不当处理有可能增加碳排放,并通过向环境释放氮、磷和病原微生物而造成水和土壤生态系统的污染。尽管沼渣存在一定的环境危害,但其所含的大量生物质使其成为资源和能源回收的候选者。热解被认为是一种环境友好型处理方法,能够将固体废物转化为有价值的资源。沼渣生物炭可能会对污泥的热解产生一定影响,特别是在热解过程中释放N/S/Cl,这可能会导致环境风险,并对沼渣的回收利用造成限制。
图文摘要:

本研究通过动力学分析、TG-MS和Py-GC/MS,分析了沼渣生物炭强化污泥厌氧消化后对热解产物的影响和机理,重点研究了热解过程中污染元素的释放特征。本研究对反应机理进行了全面的比较和分析,为沼渣热解释放污染物提供了理论依据,同时加强了对含N/S/Cl污染物的控制和管理。这项研究对于控制污染和评估危险废物处理具有意义。

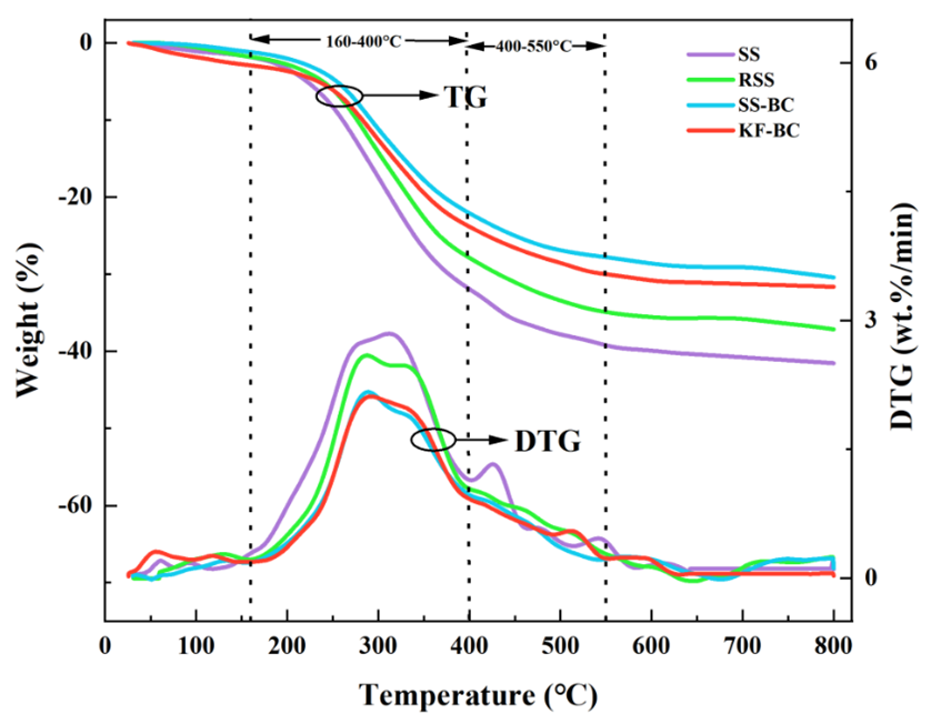
图1 沼渣样品的TG-DTG曲线
图1表示沼渣以15°C/min的升温速率从环境条件加热到800°C时的TG-DTG曲线。四种样品在热解过程中的质量损失曲线具有相似性。在160-550°C的范围内,TG曲线急剧下降。在温度小于160°C范围内,KF-BC的失重率最高,为2.92%。重量损失可能是由于水的挥发和有限部分碳氢化合物的降解。在160-400°C范围内,与KF-BC相比,SS的失重率更高,重量损失主要来自纤维素、半纤维素和一些木质素,而KF-BC的重量损失主要源于有机化合物的分解,包括氨基酸、脂肪酸、多糖和蛋白质。

图2 沼渣样品热解过程中含C/H/O的主要气体的释放曲线
CH4生成的主要途径是大分子官能团分解成小分子化合物。所有四种样品的CH4释放都呈现出一个主峰和一个肩峰。在420°C至520°C的范围内,CH4的产生归因于芳香族结构和含氧聚乙烯的分解。在不同的温度条件下,CH4的形成途径有所不同。KF-BC中Fe3+的存在促进了焦油和碳氢化合物的裂解,从而减轻了生物炭对CH4气体释放的抑制作用,导致KF-BC中的CH4释放强度最高。此外,在共热解过程中,与RSS相比,SS-BC中生物炭与纤维素的比例增加会导致更高的CH4释放强度。

图3 沼渣样品热解过程中含S/Cl污染物的释放曲线
与含N的污染物类似,含S的污染物也很容易与O2发生反应并转化为SO2。在500°C -700°C条件下,KF-BC表现出较高的二氧化硫释放强度,可能是由-SH氧化形成的。Fe3+的存在促进了大量H自由基的生成,这些H自由基随后与热解过程中含硫化合物形成的-SH和-S-自由基相互作用。有机氯和无机氯成分都有助于HCl的生成。低温段产生于小分子氯化碳氢化合物的蒸发,而高温段则与大分子氯化碳氢化合物的降解有关,这表明KF-BC中Fe3+的存在促进了含Cl化合物的形成。

图4 沼渣样品热解液相产物的分类
热解液相产物中包含的挥发性有机化合物可分为五个不同的类别:脂肪族碳氢化合物,苯衍生物;含氧化合物;氮化合物以及氯化物和硫化物。其中,脂肪族碳氢化合物是沼渣热解产生的焦油产品中的主要成分。这些脂肪族碳氢化合物浓度的增加意味着燃烧属性的改善,其特点是热值升高和粘度降低。脂肪烃化合物在SS、RSS、SS-BC和KF-BC中的峰面积百分比分别为20.36%、21.55%、28.97%和34.65%。在KF-BC中观察到的峰面积最大,这表明热解沼渣有利于获得更高价值的产品,在这其中Fe3+在促进脂肪族碳氢化合物的形成方面发挥了积极作用。
综上所述,样品的热解分为三个阶段,在160-550°C范围内重量损失最大。热解后的残留物KF-BC和SS-BC最高,SS最低;由于Fe3+的特性和催化作用,KF-BC促进了CH4的释放。然而,这也增加了含有Cl、HCN和NO2的污染物的排放,同时减少了NH3、HCNO、SO2和H2S的排放。SS-BC的CO2释放强度最高;KF-BC提高了焦油的热值,改善了焦油的化学稳定性;KF-BC还减少了硫和氯化合物的形成。
2024年3月18日,公司2022级硕士研究生于岳的研究论文“Effect of different digestate biochars as promoters via sludge anaerobic digestion on subsequent pyrolysis products: Focusing on the nitrogen, sulfur, and chlorine releasing characteristics”被工程技术类SCI期刊《Renewable Energy》接收(1区TOP,IF2023=8.7)。吴彦副教授与付川教授为共同通讯作者,2022级硕士研究生于岳为论文共同第一作者(导师一作)。本研究获得国家自然科学基金(51808089)、万州区科委研究项目(wzstc20210308)的资助。
论文链接:https://doi.org/10.1016/j.renene.2024.120366